1장 확률이란?
2장 여러 확률변수의 조합
3장 이산값의 확률분포
4장 연속값의 확률분포
5장 공분산행렬과 다변량 정규분포와 타원
5.1 공분산과 상관계수
5.1.1 공분산
두개의 확룰 변수 에 대한 공분산 → 식의 모양은 분산과 비슷하지만, 식을 계산하면 분산과는 조금 다르다.
•
공분산이 양수 → 한쪽이 크면 다른 쪽도 큰 경향이 있다.
•
공분산이 음수 → 한쪽이 크면 다른 쪽은 반대로 작은 경향이 있다.
•
공분산이 0 → 한쪽이 크다고 해서 다른 쪽이 크거나 작거나 하는 경향이 없다.
확률변수 의 기댓값이 각각 → 의 공분산(covariance)
공분산이 양수가 되는 경우는
•
한쪽이 (기댓값보다) 큰 값이면 다른 한쪽도 (기댓값보다) 큰 값이 나올 때가 많음
•
한쪽이 (기댓값보다) 작은 값이면 다른 한쪽도 (기댓값보다) 작은 값이 나올 때가 많음
공분산이 음수가 되는 경우는
•
한쪽이 (기댓값보다) 큰 값이면 다른 한쪽은 (기댓값보다) 작은 값이 나올 때가 많음
•
한쪽이 (기댓값보다) 작은 값이면 다른 한쪽은 (기댓값보다) 큰 값이 나올 때가 많음
위와 같은 이러한 경향이 없을 때는 공분산이 0이 됩니다.
5.1.2 공분산의 성질
확률변수 와 가 독립인 경우 공분산의 0이다.
5.1.3 경향이 뚜렷한 상태와 상관계수
•
가 크고 도 큰 경향 →
•
가 크고 도 작은 경향 →
•
그런 경향이 없다 →
•
상관계수는 -1에서 +1까지의 값을 가진다.
•
상관계수가 +1에 가까울수록 는 오른쪽으로 올라가는 직선에 가깝게 위치한다.
•
상관계수가 -1에 가까울수록 는 오른쪽으로 내려가는 직선에 가깝게 위치한다.
•
가 서로 독립이면 상관계수는 0이다.
5.1.4 공분산이나 상관계수에서 측정할 수 없는 것
두 개의 확률변수를 비교할 때, 상관계수만 가지고 모든 것을 판단할 수 없다. → 데이터의 모양을 보기 위해서 산점도 부터 보는 것을 추천.
5.2 공분산행렬
상관계수는 두 개의 확률변수를 가지고 설명 → 변수를 네 개로 확장한다면?
5.2.1 공분산행렬 = 분산과 공분산의 표
•
(대각 성분일 때)라면 분산
•
(대각 성분이 아닐 때)라면 공분산
•
공분산행렬은 대칭행렬(전치해도 마찬가지)
•
공분산행렬의 대각 성분은 모두
5.2.2 벡터로 정리해서 쓰면
를 사용하면 공분산행렬을 벡터 및 행렬식으로 만들 수 있다.
5.2.3 벡터·행렬의 연산과 기댓값
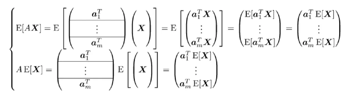
를 차원의 열벡터로 가정
의 기댓값
상수 c, 상수 벡터 a, 벡터확률 변수 Y에 대해
상수 벡터 a가 주어졌을 때, a와 X의 내적의 기댓값
상수 벡터가 아닌 일반 행렬()도 성립
여기서 을 차원이다. 이 형태를 옆으로 잘라서 행벡터를 쌓아올린 형태로 만들면
에 연산가능한 형태로 변형가능하다. 실제로 형태를 바꾸는게 아니고 맞는 형태로 맞춰서 보는것이다.
변화하는 행렬
행렬을 세로로 분리해서 열벡터의 형태로 만들어서 계산한다.
변하지 않는 양의 곱셈은 기댓값 밖으로 꺼낼 수 있다.
5.2.4 벡터 확률변수에 대해 좀 더 알아보자🫥
5.2.5 변수를 바꾸면 공분산행렬이 어떻게 달라질까?
를 차원의 변화하는 열벡터, 의 기댓값 벡터를 일때 → 의 공분산행렬은
상수 를 에 곱하면 그 공분산행렬은
열벡터 인 경우는
가 행렬인 경우
5.2.6 임의 방향에서의 편차
분산, 공분산 → 행렬, 도형적 해석
확률변수 → 차원의 열벡터
공분산행렬 → 대각 성분에 대해 각 성분의 분산
와 다르게, 비스듬한 방향의 편차를 구하는 방법?
공분산행렬을 이용해서 구함 → 방향은 길이가 1인 벡터 를 사용
를 에 사영 → 새로운 위치
이라는 전제에 의해
5.3 다변량 정규분포
단변량 정규분포 → 정규분포의 다차원 버전
•
수식으로 다루기 쉽고, 깔끔한 이론적 결과를 얻기 쉽다.
•
현실의 대상에서 다변량 정규분포로 되어 있는(다변량 정규분포라고 생각/근사할 수 있는) 것이 많다.
5.3.1 다변량 표준정규분포
표준정규분포를 따르는 i.i.d. 한 확률변수들 의 열벡터 → 가 따르는 분포를 n차원 표준정규분포, 는 차원(열벡터)
2차원 표준정규분포를 예를 들어서 설명
원점 주위가 나오기 쉽고, 원점에서 멀어 질 수록 나오기 어렵다. 그리고 위쪽, 오른쪽 아래, 또는 특정 방향으로 어긋나기 쉬운 것이 아니라, 어느 방향에서도 균등하다.
이 독립적이라는 전제하에 의 확률밀도함수는
다변량 정규분포의 증명 유도 과정
•
각 성분의 표준편차는 모두 1이다.(이는 만드는 방법에서부터 당연한 사실이다.)
•
게다가 좌표축 방향에 국한되지 않고 어떤 방향의 표준편차도 모두 1이다.
5.3.2 일반적인 다변량 정규분포
1차원일 때는 표준정규분포를 따르는 확률변수 을 확대 축소하거나 평행이동함으로써 여러 정규분포를 따르는 확률변수 을 만들었다. → 차원 표준정규분포를 따르는 확률변수 를 변환해서 여러 가지를 변화를 만들어 낸다.
•
확대 축소와 평행이동
는 양의 정수, 는 차원의 상수 벡터 →
의 분포는 기댓값 , 공분산행렬 의 차원 정규분포,
•
종횡 신축
위의 확대 축소는 모든 방향으로 균등하게 배가 되었다. → 만약 축에 의해 늘어나고 줄어드는 배율을 바꾸면?
기준인 원도 연동되어 타원으로 변환된다.
확대 축소를 축 단위로 다르게 적용한다고 이해하면 좋다.
•
추가 회전
확대 축소 + 평행이동 + 종횡 시축 + (추가 회전) → 추가적으로 회전을 주는 방법은?
회전이라는 조작은 일반적으로 직교행렬을 곱하는 모습으로 표현된다.
1.
다변량 표준정규분포를 따르는 에 어떤 대각행렬 를 곱해서 을 만든다.
2.
에 어떤 직교행렬 를 곱해서 를 만든다.
3.
이렇게 만들어진 의 분포가 (기댓값이 인) 일반적인 다변량 정규분포다.
반대로 원하는 공분산행렬 를 가진 다변량 정규분포를 만들고 싶다면
대각행렬 , 직교행렬 → , 공분산행렬 V는 대칭행렬
두어진 대칭행렬 에 대해 알맞은 직교행렬를 찾아 가 대각행렬이 되면 된다.
→
와 를 사용 → 다변량 정규분포 를 얻을 수 있다.
대칭행렬의 직교행렬에 의한 대각선화란 무엇인가?
대칭행렬의 성징: 가 대칭행렬이라면 알맞은 직교행렬 를 취해 가 반드시 대각행렬이 되도록 할 수 있다.
를 사용해서 얻어지는 대각행렬을 이고, 는 직교행렬이고
, 일 때,
의 각 열벡터 이 의 고유벡터다.
위 식을 열마다 확인해보면 → 는 의 고유벡터(고윳값은 )
1.
주어진 대칭행렬 의 고윳값 을 구한다.
2.
각 고윳값 의 고유벡터 를 구한다.
3.
고유벡터의 길이를 1로 일치시킨다. 구체적으로는 로 둔다.
4.
고유백터가 나란히 늘어선 를 만든다.
완성된 는 직교행렬이 되는 것이 보증됩니다.그리고 이 로 를 변환하면
처럼 대각행렬이 된다.
5.3.3 다변량 정규분포의 확률밀도함수
기댓값이 인 경우
의 공분산행렬을 가진 차원 정규분포
는 직교행렬, 는 대각행렬
우변을 정리해서 식으로 나타내고 싶은데,
차원 정규분포
차원 정규분포
로 정리하면
















